Yeniçağ yazarı Murat Ağırel, Metro İstanbul'un aldığı helikopteri ve nasıl milyonlarca lira zarar edildiğini anlattı.
Ağırel'in bugünkü Paralarımız ile ''uçmuşlar'' başlıklı yazısı şöyle:
Hani özellikle Güneydoğu'daki askerî operasyonlarda "Sikorsky tipi helikopter" ifadesini duymuşsunuzdur.
Aslında o isim helikopteri üreten bir firmanın adı; Sikorsky Aircraft Corporation. Kurucusu Igor Sikorsky, Kiev'de doğmuş Rus asıllı Amerikalı bilim insanı...
"Helikopterin babası" olarak tanınır ama bizim bugünkü konumuz firmanın ürettiği 1988 model S-76B tipi bir helikopter.
Gelin "uçan milyonların" hikayesini anlatayım...
İstanbul Büyükşehir Belediyesi (İBB) iştiraki olan Metro İstanbul, 1988 yılında İBB tarafından kent içi raylı sistemlerin işletmeciliğini yapmak üzere kuruldu.
Yani görevi; İstanbul'daki mevcut metro, tramvay, füniküler ve teleferik hatlarını işletmek.
Diyeceksiniz ki helikopter ne alaka.
Haklısınız çünkü personeline okçuluk eğitimi bile aldıran kurum, 2012 yılında birden helikopter almaya karar veriyor.
Aramalar sonucunda Mayıs 2012 yılında Kale Nakliyat Seyahat Turizm A.Ş. adlı firmadan 590 bin dolar değerinde 1988 model, TC-HKN işaretli, Sikorsky S-76B tipi helikopteri bulup almışlar. O günün kuru ile değeri 1 milyon TL ediyor.
"Helikopter" ve "Belediye" aynı cümle içinde geçince benim daha önce kaleme aldığım bir yazı aklıma geldi.
Tabii ki yazının kahramanı Ankara Büyük Şehir Belediyesi ve başındaki Melih Gökçek... Onun döneminde de yine helikopter yolsuzluğu yapılmıştı. Hatta belediye iştirakleri aynı helikopteri ayrı ayrı kiralayıp hiç kullanmamayı tercih etmişti. Helikopterlerin alındığı isim de belediyeden milyonlarca liralık bir dolu ihale alan isim çıkmıştı.
Neyse biz yazımıza devam edelim...
Helikopter, alındıktan sonra İBB'ye bağlı diğer şirketlere kiralanmaya başlanmış. En çok kiralayan firma da yine İBB iştiraki olan İstanbul Ulaşım A.Ş. olmuş. Mesela bir aylık kiralama 15 saat 36 dakika için KDV dahil 58 bin 721 Euro ödüyor. Üç aylık 50 saat 23 dakika için ise KDV dahil 189 bin Euro'ya kiralıyor.
Peki, kiralayıp ne yapmış mesela?
Onu da araştırdım.
Deniz Hizmetleri Müdürlüğü'ne kişiler taşınmış devamlı. Boğaziçi İmar Müdürlüğü'ne gidilmiş. AKOM'a gidilmiş vs. toplamda 550 saat uçuş yapmış. Sadece AKOM için 278 saat uçuş gerçekleşmiş.
Tabii bu kağıt üstünde.
Çünkü bu raporların doğru olduğu konusunda şüpheler var. Halkın parası ile alınmış helikopterin siyasiler için propaganda faaliyetleri amacıyla kullanıldığına dair kaygılar var.
Metro İstanbul A.Ş., bahse konu helikopteri 2012-2018 yılları arasında kiraya vererek toplam 3 milyon 220 bin TL gelir elde etmiş. Bu gelirin yanında bakım ve diğer giderleri olarak 14 milyon 400 bin TL harcanmış. Üstelik kiralama hizmeti verilmeyen 2018 yılında personel gideri de 919 bin TL.
Yani hiç uçmayan helikopter için 1 milyona yakın para harcanmış. Bu ülkede 1 milyon liraya hayatı kurtulacak 79 milyon insan bulabilirim.
Nasıl güzel değil mi?
Durun daha bitmiyor...
Metro Ulaşım firması yetkilileri bakıyorlar astarı yüzünü geçiyor, helikopteri satmak istiyor. 2017 yılında fiyat çalışması yapıyor. Komisyondan fiyat isteniyor 600 bin Dolar fiyat tespit ediliyor. Başka bir komisyon 2 milyon 120 bin TL bedel belirliyor ve 18 Ağustos 2018 tarihinde ihale düzenliyor. Muhammen bedel olarak ise 1 milyon 934 bin TL belirleniyor.
Bu ihalede alıcı çıkmıyor.
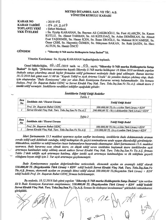
Sonra 18 Aralık 2018 tarihinde kapalı teklif ve açık artırma usulü ihaleye çıkılıyor. İki kişi teklif veriyor. Birisi Prof. Dr. Başaran Ruhet Genç, 500 bin TL teklif veriyor, diğeri ise Servet Kiralık Vinç adlı firma 510 bin TL fiyat veriyor.
7 Ocak 2019 tarih ve 2019/03 karar no ile helikopterin Servet Coşkun ve Sedat Coşkun'un sahibi olduğu Servet Kiralık Vinç adlı firmaya satılmasına karar veriliyor.
Bakın 2019 yılında bir helikopteri KDV dahil 601 bin 800 TL bedel ile satmışlar. O günkü kur ile 113 bin dolar. Yani bir araba parasına satılmış. Oysa daha yüksek fiyat belirlenmiş ama belirlenen fiyatın 4'te birine satılmış.
Peki, bu helikopter kim için alındı?
Kimler kullandı?
İşte İçişleri Bakanlığı'nın el koyduğu dosyalardan birisi bu...
Şayet el konulmamış olsa muhtemelen İBB Teftiş Kurulu ve Müfettişleri bunu ortaya çıkaracaktı.
Elbette İçişleri Bakanlığı müfettişleri de bu konuyu araştırıyordur. Ancak aradan geçen bunca zamana rağmen bir gelişme olmadı. En azından ben duymadım.
Bakın bu paralar bizim paralarımız.
Platon yani bilinen diğer adı ile Eflatun der ki; "Halkını tüketen milletlerin kendileri de tükenir..."
Biz tükeniyoruz artık.
Bizi tüketen, halkın parasını babaların parası gibi har vurup harman savuran kişilerdir. Bu paralarda fakir fukaranın hakkı vardır. Elbet bir gün hukuk önünde hesabı sorulur.




